388vip太阳集团集团

光学器件/晶体

RTP,PPLN,扩束镜,场镜,聚焦镜,变焦镜、反射镜,衍射光学器件,多焦点透镜,莫尔镜,动态聚焦镜,能量衰减器,音圈扫描镜,光束整形器
激光扩束镜、可调扩束镜、CO2扩束镜

激光扩束镜、可调扩束镜、CO2扩束镜

时间:2021-10-11 类别:光学器件/晶体 关注:3867
传统的扩束镜是两个单个透镜(聚焦镜)组成,为了最小化相差和达到衍射极限功能,有利于准直,我们用自由间隔的两透镜系统,经过扩束后光束发散角可以容易的调整。
产品经理
热线:181-6269-8939
QQ: 1651816816
微信:XTGD518
即刻询价

扩束镜是能够改变激光光束直径和发散角的透镜组件。从激光器发出的激光束具有一定的发散角,对于激光加工来说,只有通过扩束镜的调节使激光光束变为准直(平行)光束,才能利用聚焦镜获得细小的高功率密度光斑;在激光测距中,必须通过扩束镜最大限度地改善激光的准直度才能得到理想的远距离测量效果;通过扩束镜能改变光束直径以便用于不同的光学仪器设备;扩束镜配合空间滤光片使用则可以使非对称光束分布变为对称分布,并使光能量分布更加均匀。

最通用的扩束镜起源于伽利略望远镜,通常包括一个输入负透镜和一个输出正透镜。输入镜将一个虚焦点光束传送给输出镜,两个透镜是虚共焦结构。一般小于20倍的扩束镜都用该原理制造,因为它简单、体积小、价格也低。尽可能的该扩束镜设计成小的球面相差、低的波前变形和消色差。它的局限性在于不能容纳空间滤波或者进行大倍率的扩束。

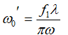
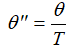
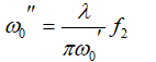
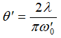
如右图所示,输入镜将入射的激光束聚焦在前焦平面上(虚焦点),新的束腰w?0 和发散角q?为(1)和 (2)(3)式中w(l)为入射激光束在入射镜上光束半径,l 是入射激光束腰与入射镜的距离,f1是输入镜的焦距。因为 w0? 落在输出镜的后焦平面上,并且输出镜的焦距f2大于输入镜的焦距,高斯光束将被扩束镜准直。准直倍率如下:(4)

式中T1 = f2/f1,qw0 是入射光束的发散角和束腰。经过扩束镜后,束腰 w?0 和发散角 q? 为

(5)和(6)将(1)式代入(5)得到(7)从(4)至(7)式可以看出,扩束倍数和准直倍率不仅与扩束镜的参数有关,还与激光束参数和扩束镜透镜的位置有关。扩束镜的功能是降低激光束的发散角,进而使激光器聚焦光斑更小。

我公司生产和销售的扩束镜按激光波长分类主要有三种: CO2 激光扩束镜 (10.6mm)、YAG和光纤激光扩束镜 (1064nm、532和355nm) 和其它激光扩束准直镜(633nm等)。按扩束镜结构形式来分,主要有固定扩束镜、手动微调扩束镜、可变倍数扩束镜等。根据客户需要,也可以订制各种扩束镜。

  • 光学材料:光学玻璃、石英或硒化锌

  • 直径误差:< -0.1mm

  • 厚度误差:±0.1mm

  • 平整度:?/4

  • 表面质量:60-40 scratch-dig

  • 镀膜:R >  99%

在下面文件中,主要使用如下缩写:

  • WL=Wavelength波长;

  • MAG=Magnification扩束倍数;

  • CA=Clear aperture通光口径;

  • CA1=入射通光口径;

  • CA2=出射通光口径;

  • D1=入射端扩束镜直径;

  • D2=出射端扩束镜直径;

  • L1=扩束镜总长度;

  • MT=Mounting链接螺纹;

  • D=扩束镜直径。

CO2激光扩束镜(9.3&mu;m/9.4&mu;m和10.6&mu;m)

固定式扩束镜

BEST-W系列10.6um固定型和可调型固定倍数扩束镜

扩束镜外形如柱形或喇叭形,喇叭形的进出端的直径不一样。

CO2固定式扩束镜

产品型号 MAG CA1(mm) CA2(mm) D1(mm) D2(mm) L1(mm) L2(mm)
BEST-9.4-2-W 2 16.5 23 M22X0.75 28 59 54
BEST-9.4-3-W 3 10 20 28 28 61 51.5
BEST-9.4-5-W 5 13 23 20 30 72 42
BEST-10.6-1.5-W 1.5 13 16 20 - 35 -
BEST-10.6-2-W 2 10 15 22 - 32.5 -
BEST-10.6-2A-W 2 15 17 22 - 35 -
BEST-10.6-2L-W 2 27 53 M44X1 63 72 47
BEST-10.6-2.5-W 2.5 12 20 27 - 54 -
BEST-10.6-3A-W 3 10 15 20 20 61 -
BEST-10.6-3B-W 3 12.5 20 20 28 59 29
BEST-10.6-3C-W 3 13 20 20 28 110 60
BEST-10.6-3-W 3 11 16 20 20 59 -
BEST-10.6-3.3-W 3.3 10 15 21 21 67 -
BEST-10.6-4-W 4 10 20 20 28 67 46
BEST-10.6-4A-W 4 10 25 20 31 67 48
BEST-10.6-4C-W 4 12 23 20 30 135 90
BEST-10.6-5-W 5 12 23 20 30 72 47
BEST-10.6-5A-W 5 12 28 20 36 70 45
BEST-10.6-6A-W 6 10 28 20 36 75 55
BEST-10.6-8-W 8 13 26 20 36 120 75.1
BEST-10.6-8A-W 8 10 30 20 36 73 55.5

BEC系列10.6um固定型扩束镜

CO2固定式扩束镜

产品型号 MAG CA1(mm) CA2(mm) D1(mm) D2(mm) L1(mm) L2(mm) 安装螺纹
BEC-10.6-2 2.0 12.7 17 - 25 46.5 - M22x0.75
BEC-10.6-2.5 2.5 12.7 20 - 25 59.65 - M22x0.75
BEC-10.6-3 3.0 12.7 17 - 25 64.5 - M22x0.75
BEC-10.6-4 4.0 12.7 17 - 25 70.5 - M22x0.75
BEC-10.6-5 5.0 12.7 20 - 25 72 - M22x0.75
BEC-10.6-6 6.0 12.7 27 - 32 75.75 - M22x0.75
BEC-10.6-8 8.0 12.7 27 24 27 71 37 M22x0.75

BEH系列10.6固定型扩束镜

CO2固定式扩束镜

产品型号 MAG CA1 CA2 D1=D2 L1 MT
BEH-10.6-1.5 1.5 13 13 25 30 M22x0.75
BEH-10.6-2 2 13 13 25 35 M22x0.75
BEH-10.6-2.5 2.5 11 11 27 49.91 M22x0.75
BEH-10.6-3 3 11 11 27 40.76 M22x0.75
BEH-10.6-4 4 11 11 27 70.62 M22x0.75
BEH-10.6-5 5 11 11 27 87.2 M22x0.75
BEH-10.6-6 6 11 11 37 91.18 M22x0.75
BEH-10.6-8 8 11 11 37 68.94 M22x0.75

BEST-C系列10.6um可调型固定倍数扩束镜

10.6um可调扩束镜

产品型号 MAG,x CA1,mm CA2,mm OD(D2),mm L1,mm 安装螺纹mm
BEST-10.4-2C 2 8 15 46 52.2 M30x1+M43x0.5
BEST-10.4-3C 3 8 15 46 81.5 M30x1+M43x0.5
BEST-10.4-4C 4 15 28 46 85 M30x1+M43x0.5
BEST-10.4-4C2 4 8 15 46 78 M30x1+M43x0.5
BEST-10.4-8C 8 8 32 46 81.5 M30x1+M43x0.5

BEST-X系列可调扩束镜

产品型号 MAG CA1 (mm) CA2 (mm) MT D1(mm) D2(mm) L1(mm) L2(mm)
BEST-10.6-1X-X 1 16 18 M22x0.75 36 40 54.9 46.4
BEST-10.6-2Z-X 2 10 15 M16x0.75 22 22 51 37
BEST-10.6-2Z1-X 2 10 22 M22x0.75 22 32 50 33
BEST-10.6-2Z3-X 2 15 28 M22x0.75 36 36 48.1 -
BEST-10.6-2Z4-X 2 10 15 M16x0.75 20 20 51 -
BEST-10.6-2ZG-X 2 10 15 M16x0.75 22 22 51 40
BEST-10.6-2.5Z-X 2.5 10 15 M16x0.75 20 20 56 45
BEST-10.6-2.5Z1-X 2.5 10 16 M16x0.75 20 20 32.5 25
BEST-10.6-2.5Z2-X 2.5 10 20 M22x0.75 28 28 56 40.5
BEST-10.6-3Z1-X 3 10 16 M16x0.75 20 20 61 45
BEST-10.6-3Z2-X 3 10 20 M22x0.75 28 28 61 47
BEST-10.6-3Z3-X 3 10 16 M16x0.75 - 20 37 28
BEST-10.6-3Z4/1-X 3 10 25 M22x0.75 32 32 60 43
BEST-10.6-3Z5-X 3 15 35 M22x0.75 44 44 75.5 58.5
BEST-10.6-3Z6-X 3 15 28 M22x0.75 36 36 60 46
BEST-10.6-3.3Z1-X 3.3 10 15 M16x0.75 20 20 69 58
BEST-10.6-3.8Z-X 3.8 23 26 M33x0.5 36 M33x0.5 64 48
BEST-10.6-4Z-X 4 10 16 M16x0.75 20 20 55 40
BEST-10.6-4Z1-X 4 10 20 M22x0.75 28 28 71 55
BEST-10.6-4Z2-X 4 15 28 M22x0.75 36 36 66.9 56
BEST-10.6-4Z3-X 4 10 20 M22x0.75 26 32 70 50
BEST-10.6-5Z-X 5 10 16 M16x0.75 20 20 58 43
BEST-10.6-5Z1-X 5 13 23 M22x0.75 30 30 70 -
BEST-10.6-6Z-X 6 11 26 M22x0.75 32 32 76 62
BEST-10.6-6Z1-X 6 10 36 M22x0.75 44 44 75.3 64.3
BEST-10.6-6Z2-X 6 10 15 M16x0.75 20 20 60 45
BEST-10.6-7X-X 7 37 68 M34x0.75 39 71 88.8 35.8
BEST-10.6-8Z1-X 8 13 33 M22x0.75 44 44 118 98
BEST-10.6-8Z2-X 8 10.5 23.4 M22x0.75 30 30 64.9 49.9
BEST-10.6-10Z1-X 10 10 36 M22x0.75 44 44 125 -

二氧化碳激光变倍扩束镜

BEST-W系列可调扩束镜

10.6um可调扩束镜

产品型号 MAG CA1(mm) CA2(mm) M1 D1(mm) D2(mm) L2(mm) L1(mm)
BEST-10.6-2Z-TW 2 10 15 M16x0.75 22 22 37 51
BEST-10.6-2Z1-TW 2 10 23 M22x0.75 32 32 38 48
BEST-10.6-2ZG-TW 2 10 15 M16x0.75 22 22 40 51
BEST-10.6-2Z3-TW 2 15 28 M22x0.75 36 36 33 48
BEST-10.6-2Z4-TW 2 10 15 M16x0.75 20 20 37 50
BEST-10.6-2.5Z-TW 2.5 10 16 M16x0.75 20 20 45 55.2
BEST-10.6-2.5Z1-TW 2.5 10 15 M16x0.75 20 20 25 34
BEST-10.6-2.5Z2-TW 2.5 10 20 M22x0.75 28 28 40.5 56
BEST-10.6-3X3T-TW 3 10 16 M16x0.75 - 20 28 37
BEST-10.6-3Z1-TW 3 10 16 M16x0.75 20 20 45 61
BEST-10.6-3Z2-TW 3 10 20 M22x0.75 28 28 47 61
BEST-10.6-3Z3-TW 3 10 16 M16x0.75 20 20 28 37
BEST-10.6-3Z4/1-TW 3 10 25 M22x0.75 32 32 43 60
BEST-10.6-3Z5-TW 3 15 35 M22x0.75 44 44 60 73
BEST-10.6-3Z6-TW 3 15 28 M22x0.75 36 36 51 60
BEST-10.6-3.75Z-TW 3.75 23 26 M33x0.5 36 36 48 64
BEST-10.6-4X-TW 4 11 17 - M24x0.5 26 51.5 66
BEST-10.6-4Z-TW 4 10 16 M16x0.75 20 20 47 55
BEST-10.6-4Z1-TW 4 10 20 M22x0.75 28 28 55 71
BEST-10.6-4Z2-TW 4 15 28 M22x0.75 36 36 51 66
BEST-10.6-4Z3-TW 4 10 20 - 26 32 50 70
BEST-10.6-5Z-TW 5 10 16 M16x0.75 20 20 43 58
BEST-10.6-5Z1-TW 5 10 23 M22x0.75 30 30 56 71
BEST-10.6-6Z-TW 6 11 26 M22x0.75 32 32 62 76
BEST-10.6-6Z1-TW 6 10 35 M22x0.75 44 44 60 75
BEST-10.6-6Z2-TW 6 10 15 M16x0.75 20 20 45 60
BEST-10.6-8Z1-TW 8 10 33 M22x0.75 44 44 98 118
BEST-10.6-10Z1-TW 10 10 36 M22x0.75 44 44 98 118

高功率二氧化碳激光扩束镜

CBE系列高功率二氧化碳扩束镜

两聚焦镜片间距可调,输出端的通光口径全部是25mm。如果输出光斑直径达14.5mm至22mm,输入激光束功率可高达500W。输入端内螺纹M29x1mm,输出端外螺纹M29x1mm。

产品型号 扩束倍数 入射通光口径 最大入射光直径
BEST-10.6-1.3ZTM-CBE 1.3 12.5mm 10mm
BEST-10.6-1.6ZTM-CBE 1.6 12.5mm 10mm
BEST-10.6-2ZTM-CBE 2 12.5mm 10mm
BEST-10.6-2.5ZTM-CBE 2.5 12.5mm 8mm
BEST-10.6-3ZTM-CBE 3 12.5mm 6mm
BEST-10.6-3.5ZTM-CBE 3.5 12.5mm 5mm
BEST-10.6-4ZTM-CBE 4 12.5mm 4.5mm
BEST-10.6-5ZTM-CBE 5 12.5mm 3.5mm
BEST-10.6-6ZTM-CBE 6 12.0mm 3.0mm
BEST-10.6-7ZTM-CBE 7 10.0mm 2.5mm
BEST-10.6-8ZTM-CBE 8 10.0mm 2.1mm
BEST-10.6-10ZTM-CBE 10 5.0mm 1.7mm
BEST-10.6-12ZTM-CBE 12 5.0mm 1.4mm

SBE系列高功率二氧化碳扩束镜

高功率二氧化碳扩束镜

SBE系列扩束镜适合于2mm至12mm激光束直径、激光功率高达1kW的应用,调焦范围从-10m、无穷到+1.6m,出厂设置为从无穷到+2m,所有型号的扩束镜外形是一样的。调焦时聚焦镜片是线形移动,并且没有旋转,避免了在调焦中因镜片转动产生的不同轴和光束强度分布的变化。在光路中使用该扩束镜后,光束质量在很长一段光程都是相同的,所以他们特别适合大面积激光切割机。

型号 扩束倍数 入射通光口径 输出通光口径
BEST-10.6-2ZTM-SBE x2.0 12.50mm 25.4mm
BEST-10.6-2.5ZTM-SBE x2.5 10.20mm 25.4mm
BEST-10.6-3ZTM-SBE x3.0 8.33mm 25.4mm
BEST-10.6-4ZTM-SBE x4.0 6.25mm 25.4mm
BEST-10.6-5ZTM-SBE x5.0 5.00mm 25.4mm
BEST-10.6-6ZTM-SBE x6.0 4.17mm 25.4mm
BEST-10.6-7ZTM-SBE x7.0 3.57mm 25.4mm

BE25系列高功率二氧化碳激光扩束镜

高功率二氧化碳扩束镜

BE25系列扩束镜适合于激光功率高达2kW,这些扩束镜是水冷的,调焦范围从无穷到+2.8m,输出通光口径35mm。这些扩束镜应用广泛,特别适合飞行光路(光学器件运动)的激光切割机、大面积激光加工系统等。

型号 扩束倍数 输入通光口径
BEST-10.6-1.33ZTM-BE25 x 1.33 25.0mm
BEST-10.6-1.5ZTM-BE25 x 1.50 23.2mm
BEST-10.6-1.66ZTM-BE25 x 1.66 21.1mm
BEST-10.6-1.75ZTM-BE25 x 1.75 20.0mm
BEST-10.6-2ZTM-BE25 x 2.00 17.5mm

BE38系列高功率二氧化碳激光扩束镜

高功率二氧化碳扩束镜

BE38系列扩束镜适合激光功率高达3kW。这些扩束镜也是水冷的,调焦范围从无穷到2.8m,输入通光口径38mm,输出通光口径57mm。

型号 扩束倍数
BEST-10.6-1.15ZTM-BE38 x 1.15
BEST-10.6-1.25ZTM-BE38 x 1.25
BEST-10.6-1.33ZTM-BE38 x 1.33
BEST-10.6-1.5ZTM-BE38 x 1.50

模块式扩束镜

模块式扩束镜

CO2模块式使用范围广泛,可用于科研和工业用途。我们提供了多种尺寸和放大倍数,连续激光功率可达1kW。此系列的输出部分扩束镜的主体,输出直径可从25毫米到90毫米。将镜片单元插入主体就形成了完整的扩束镜。

技术规格(适用于所有型号):

  • 镜片:镀有超低吸收抗反射涂层的激光级ZnSe材料。

  • 主体:HE30铝,黑色阳极。

  • 输出孔径:由其型号名称定义,如“OP50”有50毫米孔径。

  • 输入孔径:由其型号名称定义,如“IP14”有14mm孔径。

  • 放大倍数:由其型号名称定义,如OP50加IP10,作为一个组合,放大倍数为50/10=x5。

  • 性能:剩余球面像差小于λ/20。

型号 A B D F L M
OP25 Φ40x 1 ISO 50 50 5 126 Φ3.3 on 45 PCD
OP35 Φ40x 1 ISO 50 50 8 144 Φ3.3 on 45 PCD
OP50 Φ45x 1 ISO 62 62 12 200 Φ4.3 on 54 PCD
OP70 Φ45x 1 ISO 84 84 15 280 Φ6.5 on 70 PCD
OP90 Φ45x 1 ISO 84 110 20 359 Φ6.5 on 70 PCD

注:长度“L”指的是无穷远焦点

互换能力: IP20和IP25的两个较大的“IP”只能与OP70或OP90主体一起使用。其它所有IP型号产品都适合其他所有的OP型号。如要将IP20/IP25安装到OP70/OP90的主体上需要拆下适配器的套管。

输入元件: “插件”输入元件的大小和形状适用于从IP3.3到IP14的IP型号。两个较大的输入元件IP20和IP25只能与与OP70或OP90一起使用,如下图所示。下表列出了可匹配的型号。

型号 输入孔径 可匹配 OP型号
IP3.3 3.5mm 任意
IP5 5.0mm 任意
IP7 7.0mm 任意
IP8.75 8.8mm 任意
IP10 10.0mm 任意
IP14 14.0mm 任意
IP20 20.0mm 只能匹配OP70, OP90
IP25 25.0mm 只能匹配OP70, OP90

HMBE系列高功率二氧化碳扩束镜

HMBE系列是为激光用户设计的,这些扩束镜的净输入直径为4.3mm,放大倍数为x4.7,x5.6,x7.0和x9.4。推荐最大功率为250W。

HMBE系列高功率二氧化碳扩束镜HMBE系列高功率二氧化碳扩束镜

型号 扩束倍数 A B C L M
BEST-10.6-4.7ZTM-HMBE 4.7 25X1P 42 34 110 6
BEST-10.6-5.6ZTM-HMBE 5.6 25X1P 42 38 130 6
BEST-10.6-7.0ZTM-HMBE 7.0 25X1P 42 46 150 6
BEST-10.6-9.4ZTM-HMBE 9.4 25X1P 42 46 188 6

BSL系列高功率二氧化碳激光扩束镜

BSL系列是一套紧凑,经济的CO2激光扩束镜,连续激光功率可达500W,可与中小型CO2激光器(例如新锐和相干激光器)一起使用。所有型号的输入孔均为19mm,输出通光孔径的直径为35.0mm,可用于将光束扩展到输出直径约25mm(1/e2)的极限。

BSL系列高功率二氧化碳激光扩束镜BSL系列高功率二氧化碳激光扩束镜

型号 扩束倍数 输入通光口径 输出通光口径 最大入射光直径
BEST--10.6-1.3ZTM-BSL 1.3 19mm 35.0mm 13mm
BEST--10.6-1.5ZTM-BSL 1.5 19mm 35.0mm 13mm
BEST--10.6-2.0ZTM-BSL 2.0 19mm 35.0mm 13mm
BEST--10.6-2.5ZTM-BSL 2.5 19mm 35.0mm 10mm
BEST--10.6- 3.0ZTM-BSL 3.0 19mm 35.0mm 9mm
BEST--10.6- 3.5ZTM-BSL 3.5 19mm 35.0mm 7mm
BEST--10.6- 4.0ZTM-BSL 4.0 19mm 35.0mm 6mm

Nd:YAG和光纤激光扩束镜

1064nm 扩束镜

BEG系列固定型扩束镜

BEG系列扩束镜外形分为两种:喇叭形(A型)和直筒形(B型)。喇叭形的输入端直径为26mm,输出端直径36mm, 所有喇叭形的扩束镜都在输入端配有螺纹安装M22x0.75mm,便于不同扩束镜互换安装。

BEG系列固定型扩束镜

型号 倍数 CA1
mm
CA2
mm
D1
mm
D2
mm
L1
mm
L2
mm
L3
mm
安装螺纹
mm
BEG-1064-1.5A 1.5 10 28 26 36 47 15 2 M22x0.75
BEG-1064-2A 2 10 28 26 36 48 15 3 M22x0.75
BEG-1064-2.5A 2.5 10 28 26 36 57 15 12 M22x0.75
BEG-1064-2.5AQ 2.5 10 28 26 36 57 15 12 M22x0.75
BEG-1064-3A 3 10 28 26 36 74 17 6 M22x0.75
BEG-1064-3AQ 3 10 28 26 36 77 17 9 M22x0.75
BEG-1064-4A 4 10 28 26 36 72 17 4 M22x0.75
BEG-1064-6A 6 10 28 26 36 79 17 11 M22x0.75
BEG-1064-7A 7 10 28 26 36 79 17 11 M22x0.75
BEG-1064-8A 8 10 28 26 36 91 32 11 M22x0.75
BEG-1064-9A 9 10 28 26 36 92 32 12 M22x0.75
BEG-1064-10A 10 10 28 26 36 100 32 20 M22x0.75
BEG-1064-15A 15 10 28 26 36 85 32 5 M22x0.75

BEG-1064-2.5AQ和BEG-1064-3AQ的输入镜是石英,其它扩束镜是光学玻璃。

型号 倍数 最大入射直径 最大输出直径 外形尺寸 安装螺纹
BEG-1064-1.5B 1.5 10mm 28mm Φ36x58 M26x0.75
BEG-1064-2B 2 10mm 28mm Φ36x58 M26x0.75
BEG-1064-2.5B 2.5 10mm 28mm Φ36x58 M26x0.75
BEG-1064-2.5BQ 2.5 10mm 28mm Φ36x58 M26x0.75
BEG-1064-3B 3 10mm 28mm Φ36x58 M26x0.75
BEG-1064-3BQ 3 10mm 28mm Φ36x58 M26x0.75
BEG-1064-4B 4 10mm 28mm Φ36x58 M26x0.75
BEG-1064-6B 6 10mm 28mm Φ36x58 M26x0.75
BEG-1064-7B 7 10mm 28mm Φ36x58 M26x0.75
BEG-1064-8B 8 10mm 28mm Φ36x58 M26x0.75
BEG-1064-9B 9 10mm 28mm Φ36x58 M26x0.75
BEG-1064-10B 10 10mm 28mm Φ36x58 M26x0.75
BEG-1064-15B 15 10mm 28mm Φ36x58 M26x0.75

BEG-1064-2.5BQ和BEG-1064-3BQ的输入镜是石英,其它扩束镜是光学玻璃。

BEH系列1064nm扩束镜

1064nm扩束镜1064nm扩束镜

BEH系列1064nm固定式扩束镜

型号 倍数 入射光直径入射通光口径 出射光直径出射通光口径 安装螺纹 外形尺寸
BEH-1064-1.5 1.5 10.4mm 21.6mm M22x0.75 Φ27x58.4
BEH-1064-2 2 10.4mm 21.6mm M22x0.75 Φ27x38.2
BEH-1064-3 3 10.4mm 21.6mm M22x0.75 Φ27x67
BEH-1064-4 4 10.4mm 21.6mm M22x0.75 Φ27x74
BEH-1064-5 5 10.4mm 21.6mm M22x0.75 Φ27x72
BEH-1064-6 6 10.4mm 21.6mm M22x0.75 Φ27x71.8
BEH-1064-8 8 6mm 21.6mm M22x0.75 Φ27x66
BEH-1064-10 10 6mm 21.6mm M22x0.75 Φ27x68
BEH-1064-12 12 6mm 21.6mm M22x0.75 Φ27x77.7
BEH-1064-15 15 6mm 21.6mm M22x0.75 Φ27x72
BEH-1064-20 20 6mm 21.6mm M22x0.75 Φ27x81

BEH系列1064nm可调式扩束镜

型号 倍数 入射光直径入射通光口径 出射光直径出射通光口径 安装螺纹 外形尺寸
BEH-1064-1.5T 1.5 10.4mm 21.6mm M22x0.75 Φ27x58.4
BEH-1064-2T 2 10.4mm 21.6mm M22x0.75 Φ27x38.2
BEH-1064-3T 3 10.4mm 21.6mm M22x0.75 Φ27x67
BEH-1064-4T 4 10.4mm 21.6mm M22x0.75 Φ27x74
BEH-1064-5T 5 10.4mm 21.6mm M22x0.75 Φ27x72
BEH-1064-6T 6 10.4mm 21.6mm M22x0.75 Φ27x71.8
BEH-1064-8T 8 6mm 21.6mm M22x0.75 Φ27x66
BEH-1064-10T 10 6mm 21.6mm M22x0.75 Φ27x68
BEH-1064-12T 12 6mm 21.6mm M22x0.75 Φ27x77.7
BEH-1064-15T 15 6mm 21.6mm M22x0.75 Φ27x72
BEH-1064-20T 20 6mm 21.6mm M22x0.75 Φ27x81

注:入射镜片是石英,出射镜片是光学玻璃。如需要出射镜片也是石英,订货时请注明。

BEST-C系列1064nm可调式扩束镜

1064nm固定式扩束镜

产品型号 MAG,x CA1,mm CA2,mm OD(D2),mm L1,mm 连接螺纹mm
BEST-1064-1.5C 1.5 10 33 46 80.5 M30x1+M43x0.5
BEST-1064-2C 2 16 33 46 80.5 M30x1+M43x0.5
BEST-1064-2.5C 2.5 16 33 46 80.5 M30x1+M43x0.5
BEST-1064-3C 3 10 33 46 80.5 M30x1+M43x0.5
BEST-1064-4C 4 10 33 46 85 M30x1+M43x0.5
BEST-1064-5C 5 10 33 46 80.5 M30x1+M43x0.5
BEST-1064-6C 6 10 33 46 85 M30x1+M43x0.5
BEST-1064-7C 7 10 33 46 85 M30x1+M43x0.5
BEST-1064-8C 8 10 33 46 85 M30x1+M43x0.5
BEST-1064-10C 10 10 33 46 85 M30x1+M43x0.5
BEST-1064-12C 12 10 33 46 85 M30x1+M43x0.5
BEST-1064-15C 15 10 33 46 85 M30x1+M43x0.5

BEAL系列扩束镜(1064/532/355nm)

扩束镜是由一个输入负透镜镜片和一个输出正透镜镜片组成的。由于扩束镜内部没有焦点,因此可用于高功率。为了提高扩束镜承受激光强度的能力和寿命,我们对用于紫外的透镜镜片和机械结构件进行了特殊处理。标准放大倍数在1.1倍到10倍之间。我们可根所客户要求订制波长范围在266-2000nm的激光扩展镜。

主要特点

  • 可按照客户要求设计和定制放大倍数

  • 使用寿命长,适用于紫外的LIDT

  • 提供光斑椭圆度,M2和指向稳定性等参数报告

  • 可定制波长范围在250-3000nm内的产品

标准参数

镜片材料 UVFS
透射波前畸变 λ/4 p-v @ 632 nm
光通过率 99%
激光损伤阈值 > 10 J/cm?; @ 1064 nm, 10 ns, 10 Hz
外壳材料 黑色阳极氧化铝
直径 30 mm
连接螺纹 SM1

常规产品

波长nm MAG CA1, mm CA2, mm 产品尺寸 产品型号

343-355

1.2X 10 12 ?30 x 56.6 BEAL-1.2X-0355
1.5X 8.5 12.75 ?30 x 55.7 BEAL-1.5X-0355
2X 5 10 ?30 x 58.1 BEAL-2X-0355
2.5X 5 12.5 ?30 x 79.4 BEAL-2.5X-0355
3X 5 15 ?30 x 56.6 BEAL-3X-0355
4X 4 16 ?30 x 80.1 BEAL-4X-0355
5X 3 15 ?30 x 85.1 BEAL-5X-0355

515-532

1.2X 10 12 ?30 x 58.2 BEAL-1.2X-0532
1.5X 9 13.5 ?30 x 57.3 BEAL-1.5X-0532
2X 6 12 ?30 x 59.6 BEAL-2X-0532
2.5X 6 15 ?30 x 78.8 BEAL-2.5X-0532
3X 4.5 15 ?30 x 58.2 BEAL-3X-0532
4X 4 16 ?30 x 81.7 BEAL-4X-0532
5X 3 15 ?30 x 87.6 BEAL-5X-0532

1020-1070

1.2X 10 12 ?30 x 59.4 BEAL-1.2X-1064
1.5X 10 15 ?30 x 58.4 BEAL-1.5X-1064
2X 6 12 ?30 x 60.8 BEAL-2X-1064
2.5X 6 15 ?30 x 80.6 BEAL-2.5X-1064
3X 5 15 ?30 x 59.4 BEAL-3X-1064
4X 4.5 18 ?30 x 82.9 BEAL-4X-1064
5X 3.5 17.5 ?30 x 87.5 BEAL-5X-1064

YBE系列1um激光扩束镜

YBE系列激光扩束镜适用于低功率(500W)激光器,如工作在1um波长附近的掺Yb光纤激光器和Nd:YAG激光器。此扩束镜采用伽利略设计,光学元件采用多光谱硫化锌,1um处吸收率为0.0005cm-1(与10.6um硒化锌材料吸收率相同)。硒化锌的导热性能是熔融石英的20倍,折射率也更高。

YBE系列1um激光扩束镜

技术参数

尺寸 长85mm, 最大直径46mm
聚焦 无限远处的+/-3mm透镜镜片间距,分别对应于大约正负+/-1.5m的焦距。转动聚焦圈可以在不旋转透镜的情况下平移透镜镜片。
冷却 风冷
输出孔径 30mm直径(所有放大倍数
接口 输入长度4.7mm的M30x1.0螺纹,输出长度5mm的M43x0.5螺纹
材料 镜片材料为多光谱硒化锌,壳体由为氧化铝、黄铜、聚甲醛塑胶和不锈钢等材料制成
产品型号 放大倍数 物理输入孔径 最大输入孔径
BEST-1-YBE1.5 1.5 18mm 12mm
BEST-1-YBE2.0 2.0 15mm 10mm
BEST-1-YBE2.5 2.5 12mm 8mm
BEST-1-YBE3.0 3.0 10mm 7mm
BEST-1-YBE3.5 3.5 8.3mm 5.5mm
BEST-1-YBE4.0 4.0 7.5mm 5.0mm
BEST-1-YBE5.0 5.0 6.0mm 4.0mm
BEST-1-YBE6.0 6.0 5.0mm 3.5mm
BEST-1-YBE7.0 7.0 4.25mm 2.8mm

1030-1090nm(1064nm)扩束镜

STS系列扩束镜(熔融石英)

产品型号 MAG CA1(mm) CA2(mm) D2(mm) L1(mm) 螺纹 是否电动
STS-ASS0807/328 1.1 25.5 59 77 85.5 M30x1 非电动
STS-ASS0812/328 1.2 25.5 50 77 84 M30x1 非电动
STS-ASS0884/328 1.8 25.5 50 77 84 M30x1 非电动
STS-ASS3116/328 1.5 25.5 50 77 84 M30x1 非电动
STS-ASS3121/328 2 24 50 77 120.2 M30x1 非电动
STS-ASS3126/328 2.5 25.5 50 77 138.4 M30x1 非电动
STS-ASS3132/328 3 25.5 50 77 150.2 M30x1 非电动
STS-ASS3140/328 4 24 50 77 249 M30x1 非电动
STS-ASS5040/328 4 14 50 77 100.9 M30x1 非电动
STS-ASS5065/328 5 10 50 77 104.5 M30x1 非电动
STS-ASS5070/328 6 10 50 77 104.5 M30x1 非电动
STS-ASS6008/328 0.8 12 20 46 85 M30x1 非电动
STS-ASS6012/328 1.2 12 28 46 85 M30x1 非电动
STS-EXK0008/328 0.8 12 12 46 44.7 M30x1 非电动
STS-EXK0010/328 1 12 14 46 44.7 M30x1 非电动
STS-EXK0012/328 1.2 12 26 46 44.7 M30x1 非电动
STS-EXK0015/328 1.5 12 26 46 44.7 M30x1 非电动
STS-EXK0020/328 2 12 26 46 44.7 M30x1 非电动
STS-EXK0025/328 2.5 11 26 46 44.7 M30x1 非电动
STS-EXK0030/328 3 8 26 46 44.7 M30x1 非电动
STS-EXK0040/328 4 8 20 46 44.7 M30x1 非电动
STS-EXM0015/328 1.5 8 31 65 85.1 M30x1 电动调发散角
STS-EXM0020/328 2 8 31 65 85.1 M30x1 电动调发散角
STS-EXM0025/328 2.5 8 31 65 85.1 M30x1 电动调发散角
STS-EXM0030/328 3 8 31 65 85.1 M30x1 电动调发散角
STS-EXM0040/328 4 8 31 65 85.1 M30x1 电动调发散角
STS-EXM0050/328 5 8 31 65 85.1 M30x1 电动调发散角
STS-EXM0060/328 6 8 31 65 85.1 M30x1 电动调发散角
STS-EXM0070/328 7 8 31 65 85.1 M30x1 电动调发散角
STS-EXM0080/328 8 8 31 65 85.1 M30x1 电动调发散角
STS-EXM0090/328 9 8 31 65 85.1 M30x1 电动调发散角
STS-EXM0100/328 10 6 31 65 85.1 M30x1 电动调发散角
STS-EXM0120/328 12 8 31 65 85.1 M30x1 电动调发散角
STS-EXM0150/328 15 6 31 65 85.1 M30x1 电动调发散角
STS-EXM0200/328 20 5 31 65 86.4 M30x1 电动调发散角
STS-EXP0015/328 1.5 8 31 46 85 M30x1 非电动
STS-EXP0020/328 2 8 31 46 85 M30x1 非电动
STS-EXP0025/328 2.5 8 31 46 85 M30x1 非电动
STS-EXP0030/328 3 8 31 46 85 M30x1 非电动
STS-EXP0040/328 4 8 31 46 85 M30x1 非电动
STS-EXP0050/328 5 8 31 46 85 M30x1 非电动
STS-EXP0060/328 6 8 31 46 85 M30x1 非电动
STS-EXP0070/328 7 8 31 46 85 M30x1 非电动
STS-EXP0080/328 8 8 31 46 85 M30x1 非电动
STS-EXP0090/328 9 8 31 46 85 M30x1 非电动
STS-EXP0100/328 10 6 31 46 85 M30x1 非电动
STS-EXP0120/328 12 8 31 46 85 M30x1 非电动
STS-EXP0150/328 15 6 31 46 85 M30x1 非电动
STS-EXP0200/328 20 5 31 46 85 M30x1 非电动

515-545nm(532nm)扩束镜

BEST-C系列532nm可调扩束镜

产品型号 MAG,x CA1,mm CA2,mm OD(D2),mm L1,mm 连接mm
BEST-532-1.5C 1.5 20 33 46 80.5 M30x1+M43x0.5
BEST-532-2C 2 20 33 46 80.5 M30x1+M43x0.5
BEST-532-3C 3 10 33 46 80.5 M30x1+M43x0.5
BEST-532-4C 4 10 33 46 85 M30x1+M43x0.5
BEST-532-5C 5 10 33 46 80.5 M30x1+M43x0.5
BEST-532-6C 6 10 33 46 80.5 M30x1+M43x0.5
BEST-532-7C 7 10 33 46 85 M30x1+M43x0.5
BEST-532-8C 8 10 33 46 85 M30x1+M43x0.5
BEST-532-10C 10 10 33 46 85 M30x1+M43x0.5
BEST-532-12C 12 12 33 46 85 M30x1+M43x0.5
BEST-532-15C 15 10 33 46 85 M30x1+M43x0.5
BEST-532-20C 20 10 33 46 85 M30x1+M43x0.5

BEH系列532nm固定式扩束镜

型号 倍数 入射光直径CA1(mm) 出射光直径CA2(mm) 螺纹连接(mm) 外形尺寸(D2xL1) (mm)
BEH-532-1.5 1.5 10.4 21.6 M22x0.75 Φ27x58.4
BEH-532-2 2 10.4 21.6 M22x0.75 Φ27x38.2
BEH-532-3 3 10.4 21.6 M22x0.75 Φ27x67
BEH-532-4 4 10.4 21.6 M22x0.75 Φ27x74
BEH-532-5 5 10.4 21.6 M22x0.75 Φ27x72
BEH-532-6 6 10.4 21.6 M22x0.75 Φ27x71.8
BEH-532-8 8 6 21.6 M22x0.75 Φ27x66
BEH-532-10 10 6 21.6 M22x0.75 Φ27x68
BEH-532-12 12 6 21.6 M22x0.75 Φ27x77.7
BEH-532-15 15 6 21.6 M22x0.75 Φ27x72
BEH-532-20 20 6 21.6 M22x0.75 Φ27x81

BEH系列532nm可调式扩束镜

型号 倍数 入射光直径CA1(mm) 出射光直径CA2(mm) 螺纹连接(mm) 外形尺寸(D2xL1) (mm)
BEH-532-1.5T 1.5 10.4 21.6 M22x0.75 Φ27x58.4
BEH-532-2T 2 10.4 21.6 M22x0.75 Φ27x38.2
BEH-532-3T 3 10.4 21.6 M22x0.75 Φ27x67
BEH-532-4T 4 10.4 21.6 M22x0.75 Φ27x74
BEH-532-5T 5 10.4 21.6 M22x0.75 Φ27x72
BEH-532-6T 6 10.4 21.6 M22x0.75 Φ27x71.8
BEH-532-8T 8 6 21.6 M22x0.75 Φ27x66
BEH-532-10T 10 6 21.6 M22x0.75 Φ27x68
BEH-532-12T 12 6 21.6 M22x0.75 Φ27x77.7
BEH-532-15T 15 6 21.6 M22x0.75 Φ27x72
BEH-532-20T 20 6 21.6 M22x0.75 Φ27x81

注:入射镜片是石英,出射镜片是光学玻璃。如需要出射镜片也是石英,订货时请注明。

STS系列515-545nm扩束镜

型号 MAG 材料 CA1(mm) CA2(mm) D2(mm) L1(mm) 连接 是否电动
STS-EXK0008/292 0.8 fs 12 12 46 44.7 M30x1 非电动
STS-EXK0010/292 1 fs 12 14 46 44.7 M30x1 非电动
STS-EXK0012/292 1.2 fs 12 26 46 44.7 M30x1 非电动
STS-EXK0015/292 1.5 fs 12 26 46 44.7 M30x1 非电动
STS-EXK0020/292 2 fs 12 26 46 44.7 M30x1 非电动
STS-EXK0025/292 2.5 fs 11 26 46 44.7 M30x1 非电动
STS-EXK0030/292 3 fs 8 26 46 44.7 M30x1 非电动
STS-EXK0040/292 4 fs 8 20 46 44.7 M30x1 非电动
STS-EXM0015/292 1.5 fs 8 31 65 85.1 M30x1 电动调发散角
STS-EXM0020/292 2 fs 8 31 65 85.1 M30x1 电动调发散角
STS-EXM0025/292 2.5 fs 8 31 65 85.1 M30x1 电动调发散角
STS-EXM0030/292 3 fs 8 31 65 85.1 M30x1 电动调发散角
STS-EXM0040/292 4 fs 8 31 65 85.1 M30x1 电动调发散角
STS-EXM0050/292 5 fs 8 31 65 85.1 M30x1 电动调发散角
STS-EXM0060/292 6 fs 8 31 65 85.1 M30x1 电动调发散角
STS-EXM0070/292 7 fs 8 31 65 85.1 M30x1 电动调发散角
STS-EXM0080/292 8 fs 8 31 65 85.1 M30x1 电动调发散角
STS-EXM0090/292 9 fs 8 31 65 85.1 M30x1 电动调发散角
STS-EXM0100/292 10 fs 6 31 65 85.1 M30x1 电动调发散角
STS-EXM0120/292 12 fs 8 31 65 85.1 M30x1 电动调发散角
STS-EXM0150/292 15 fs 6 31 65 85.1 M30x1 电动调发散角
STS-EXM0200/292 20 fs 5 31 65 85.1 M30x1 电动调发散角
STS-EXP0015/292 1.5 fs 8 31 46 85 M30x1 非电动
STS-EXP0020/292 2 fs 8 31 46 85 M30x1 非电动
STS-EXP0025/292 2.5 fs 8 31 46 85 M30x1 非电动
STS-EXP0030/292 3 fs 8 31 46 85 M30x1 非电动
STS-EXP0040/292 4 fs 8 31 46 85 M30x1 非电动
STS-EXP0050/292 5 fs 8 31 46 85 M30x1 非电动
STS-EXP0060/292 6 fs 8 31 46 85 M30x1 非电动
STS-EXP0070/292 7 fs 8 31 46 85 M30x1 非电动
STS-EXP0080/292 8 fs 8 31 46 85 M30x1 非电动
STS-EXP0090/292 9 fs 8 31 46 85 M30x1 非电动
STS-EXP0100/292 10 fs 6 31 46 85 M30x1 非电动
STS-EXP0120/292 12 fs 8 31 46 85 M30x1 非电动
STS-EXP0150/292 15 fs 6 31 46 85 M30x1 非电动
STS-EXP0200/292 20 fs 5 31 46 85 M30x1 非电动

343-355nm(355nm)扩束镜

BEST-C系列355nm可调扩束镜

产品型号 MAG,x CA1,mm CA2,mm OD(D2)mm L1,mm 连接mm
BEST-355-1.1-0.9C +1.1x/-0.9x 14 16 41 75.5 M30x1
BEST-355-1.5-0.66C +1.5x/-0.66x 14 16 41 75.5 M30x1
BEST-355-1.5C 1.5 20 33 46 88 M30x1+M43x0.5
BEST-355-2C 2 20 33 46 80.5 M30x1+M43x0.5
BEST-355-2.5C 2.5 10 33 46 80.5 M30x1+M43x0.5
BEST-355-3C 3 10 33 46 80.5 M30x1+M43x0.5
BEST-355-3.5C 3.5 10 33 46 80.5 M30x1+M43x0.5
BEST-355-4C 4 3 33 46 85 M30x1+M43x0.5
BEST-355-5C 5 8 33 46 80.5 M30x1+M43x0.5
BEST-355-6C 6 8 33 46 80.5 M30x1+M43x0.5
BEST-355-7C 7 10 33 46 85 M30x1+M43x0.5
BEST-355-8C 8 12 33 46 85 M30x1+M43x0.5
BEST-355-10C 10 10 33 46 85 M30x1+M43x0.5
BEST-355-12C 12 12 33 46 85 M30x1+M43x0.5
BEST-355-14C 14 12 33 46 85 M30x1+M43x0.5
BEST-355-15C 15 10 33 46 92.1 M30x1+M43x0.5
BEST-355-20C 20 10 33 46 92 M30x1+M43x0.5

BEH系列355nm固定式扩束镜

型号 倍数 入射光直径CA1(mm) 出射光直径CA2(mm) 螺纹连接(mm) 外形尺寸(D2xL1) (mm)
BEH-355-1.5 1.5 6 21.6 M22x0.75 Φ27x37.5
BEH-355-2 2 6 21.6 M22x0.75 Φ27x46.5
BEH-355-3 3 6 21.6 M22x0.75 Φ27x52
BEH-355-4 4 6 21.6 M22x0.75 Φ27x70.7
BEH-355-5 5 6 21.6 M22x0.75 Φ27x76
BEH-355-6 6 6 21.6 M22x0.75 Φ27x62
BEH-355-8 8 6 21.6 M22x0.75 Φ27x64
BEH-355-10 10 6 21.6 M22x0.75 Φ27x66
BEH-355-12 12 6 21.6 M22x0.75 Φ27x84.5
BEH-355-15 15 6 21.6 M22x0.75 Φ27x70.5
BEH-355-20 20 6 21.6 M22x0.75 Φ27x87.1

BEH系列355nm可调式扩束镜

型号 倍数 入射光直径CA1(mm) 出射光直径CA2(mm) 螺纹连接(mm) 外形尺寸(D2xL1) (mm)
BEH-355-1.5T 1.5 6 21.6 M22x0.75 Φ27x37.5
BEH-355-2T 2 6 21.6 M22x0.75 Φ27x46.5
BEH-355-3T 3 6 21.6 M22x0.75 Φ27x52
BEH-355-4T 4 6 21.6 M22x0.75 Φ27x70.7
BEH-355-5T 5 6 21.6 M22x0.75 Φ27x76
BEH-355-6T 6 6 21.6 M22x0.75 Φ27x62
BEH-355-8T 8 6 21.6 M22x0.75 Φ27x64
BEH-355-10T 10 6 21.6 M22x0.75 Φ27x66
BEH-355-12T 12 6 21.6 M22x0.75 Φ27x84.5
BEH-355-15T 15 6 21.6 M22x0.75 Φ27x70.5
BEH-355-20T 20 6 21.6 M22x0.75 Φ27x87.1

注:所有镜片材料都是石英。

BEST-W系列355nm扩束镜

BEST-W系列355nm扩束镜

产品型号 MAG CA1 (mm) CA2(mm) M1 M2 L2(mm) L1(mm)
BEST-355-1.5T-W 1.5 7.0 24.0 M30×1 M43x0.5 48.1 76.5
BEST-355-2T-W 2 7.0 24.0 M30×1 M43x0.5 47.2 75.6
BEST-355-3T-W 3 7.0 24.0 M30×1 M43x0.5 48.9 77.3
BEST-355-4T-W 4 8.0 28.0 M30×1 M43x0.5 48.9 75.0
BEST-355-5T-W 5 6.0 28.0 M30×1 M43x0.5 56.5 73.5
BEST-355-7T-W 7 8.0 28.0 M30×1 M43x0.5 73.13 88.13
BEST-355-10T-W 10 6.0 28.0 M30×1 M43x0.5 80.5 96.0
BEST-355-20T-W 20 6.0 28.0 M30×1 M43x0.5 81.3 97.0

STS系列343-355nm扩束镜(熔融石英)

型号 波长(nm) 倍数 CA1(mm) CA2(mm) D2(mm) L1(mm) 接口 是否电动
STS-EXK0008/075 355 0.8 12 12 46 44.7 M30x1 非电动
STS-EXK0008/574 343 - 355 0.8 12 12 46 44.7 M30x1 非电动
STS-EXK0010/574 343 - 355 1 12 14 46 44.7 M30x1 非电动
STS-EXK0012/075 355 1.2 12 26 46 44.7 M30x1 非电动
STS-EXK0012/574 343 - 355 1.2 12 26 46 44.7 M30x1 非电动
STS-EXK0015/075 355 1.5 12 26 46 44.7 M30x1 非电动
STS-EXK0015/574 343 - 355 1.5 12 26 46 44.7 M30x1 非电动
STS-EXK0020/075 355 2 12 26 46 44.7 M30x1 非电动
STS-EXK0020/574 343 - 355 2 12 26 46 44.7 M30x1 非电动
STS-EXK0025/075 355 2.5 11 26 46 44.7 M30x1 非电动
STS-EXK0025/574 343 - 355 2.5 11 26 46 44.7 M30x1 非电动
STS-EXK0030/075 355 3 8 26 46 44.7 M30x1 非电动
STS-EXK0030/574 343 - 355 3 8 26 46 44.7 M30x1 非电动
STS-EXK0040/075 355 4 8 20 46 44.7 M30x1 非电动
STS-EXK0040/574 343 - 355 4 8 20 46 44.7 M30x1 非电动
STS-EXM0015/075 355 1.5 8 31 65 85.1 M30x1 电动调发散角
STS-EXM0015/574 343 - 355 1.5 8 31 65 85.1 M30x1 电动调发散角
STS-EXM0020/075 355 2 8 31 65 85.1 M30x1 电动调发散角
STS-EXM0020/574 343 - 355 2 8 31 65 85.1 M30x1 电动调发散角
STS-EXM0025/075 355 2.5 8 31 65 85.1 M30x1 电动调发散角
STS-EXM0025/574 343 - 355 2.5 8 31 65 85.1 M30x1 电动调发散角
STS-EXM0030/075 355 3 8 31 65 85.1 M30x1 电动调发散角
STS-EXM0030/574 343 - 355 3 8 31 65 85.1 M30x1 电动调发散角
STS-EXM0040/075 355 4 8 31 65 85.1 M30x1 电动调发散角
STS-EXM0040/574 343 - 355 4 8 31 65 85.1 M30x1 电动调发散角
STS-EXM0050/075 355 5 8 31 65 85.1 M30x1 电动调发散角
STS-EXM0050/574 343 - 355 5 8 31 65 85.1 M30x1 电动调发散角
STS-EXM0060/075 355 6 8 31 65 85.1 M30x1 电动调发散角
STS-EXM0060/574 343 - 355 6 8 31 65 85.1 M30x1 电动调发散角
STS-EXM0070/075 355 7 8 31 65 85.1 M30x1 电动调发散角
STS-EXM0070/574 343 - 355 7 8 31 65 85.1 M30x1 电动调发散角
STS-EXM0080/075 355 8 8 31 65 85.1 M30x1 电动调发散角
STS-EXM0080/574 343 - 355 8 8 31 65 85.1 M30x1 电动调发散角
STS-EXM0090/075 355 9 8 31 65 85.1 M30x1 电动调发散角
STS-EXM0090/574 343 - 355 9 8 31 65 85.1 M30x1 电动调发散角
STS-EXM0100/075 355 10 6 31 65 85.1 M30x1 电动调发散角
STS-EXM0100/574 343 - 355 10 6 31 65 85.1 M30x1 电动调发散角
STS-EXM0120/075 355 12 8 31 65 85.1 M30x1 电动调发散角
STS-EXM0120/574 343 - 355 12 8 31 65 85.1 M30x1 电动调发散角
STS-EXM0150/075 355 15 6 31 65 85.1 M30x1 电动调发散角
STS-EXM0150/574 343 - 355 15 6 31 65 85.1 M30x1 电动调发散角
STS-EXM0200/075 355 20 5 31 65 85.1 M30x1 电动调发散角
STS-EXM0200/574 343 - 355 20 5 31 65 85.1 M30x1 电动调发散角
STS-EXP0015/075 355 1.5 8 31 46 85 M30x1 非电动
STS-EXP0015/574 343 - 355 1.5 8 31 46 85 M30x1 非电动
STS-EXP0020/075 355 2 8 31 46 85 M30x1 非电动
STS-EXP0020/574 343 - 355 2 8 31 46 85 M30x1 非电动
STS-EXP0025/075 355 2.5 8 31 46 85 M30x1 非电动
STS-EXP0025/574 343 - 355 2.5 8 31 46 85 M30x1 非电动
STS-EXP0030/075 355 3 8 31 46 85 M30x1 非电动
STS-EXP0030/574 343 - 355 3 8 31 46 85 M30x1 非电动
STS-EXP0040/075 355 4 8 31 46 85 M30x1 非电动
STS-EXP0040/574 343 - 355 4 8 31 46 85 M30x1 非电动
STS-EXP0050/075 355 5 8 31 46 85 M30x1 非电动
STS-EXP0050/574 343 - 355 5 8 31 46 85 M30x1 非电动
STS-EXP0060/075 355 6 8 31 46 85 M30x1 非电动
STS-EXP0060/574 343 - 355 6 8 31 46 85 M30x1 非电动
STS-EXP0070/075 355 7 8 31 46 85 M30x1 非电动
STS-EXP0070/574 343 - 355 7 8 31 46 85 M30x1 非电动
STS-EXP0080/075 355 8 8 31 46 85 M30x1 非电动
STS-EXP0080/574 343 - 355 8 8 31 46 85 M30x1 非电动
STS-EXP0090/075 355 9 8 31 46 85 M30x1 非电动
STS-EXP0090/574 343 - 355 9 8 31 46 85 M30x1 非电动
STS-EXP0100/075 355 10 6 31 46 85 M30x1 非电动
STS-EXP0100/574 343 - 355 10 6 31 46 85 M30x1 非电动
STS-EXP0120/075 355 12 8 31 46 85 M30x1 非电动
STS-EXP0120/574 343 - 355 12 8 31 46 85 M30x1 非电动
STS-EXP0150/075 355 15 6 31 46 85 M30x1 非电动
STS-EXP0150/574 343 - 355 15 6 31 46 85 M30x1 非电动
STS-EXP0200/075 355 20 5 31 46 85 M30x1 非电动
STS-EXP0200/574 343 - 355 20 5 31 46 85 M30x1 非电动

266nm扩束镜

STS系列266nm扩束镜(熔融石英)

型号 WL(nm) MAG CA1(mm) CA2(mm) DA2(mm) L1(mm) 连接 是否电动
STS-EXM0015/199 266 1.5 8 31 65 85.1 M30x1 电动调发散角
STS-EXM0020/199 266 2 8 31 65 85.1 M30x1 电动调发散角
STS-EXM0030/199 266 3 8 31 65 85.1 M30x1 电动调发散角
STS-EXM0050/199 266 5 8 31 65 85.1 M30x1 电动调发散角
STS-EXM0070/199 266 7 8 31 65 85.1 M30x1 电动调发散角
STS-EXM0100/199 266 10 6 31 65 85.1 M30x1 电动调发散角
STS-EXP0015/199 266 1.5 8 31 46 85 M30x1 非电动
STS-EXP0020/199 266 2 8 31 46 85 M30x1 非电动
STS-EXP0030/199 266 3 8 31 46 85 M30x1 非电动
STS-EXP0050/199 266 5 8 31 46 85 M30x1 非电动
STS-EXP0070/199 266 7 8 31 46 85 M30x1 非电动
STS-EXP0100/199 266 10 6 31 46 85 M30x1 非电动

BEST-W系列266nm扩束镜

BEST-W系列266nm扩束镜

产品型号 MAG CA1(mm) CA2(mm) D1(mm) D2(mm) L2(mm) L1(mm)
BEST-266-1.5X-W 1.5 8.0 24.0 30.0 30.0 46.2 63.7
BEST-266-2X-W 2 8.0 24.0 30.0 30.0 55.0 73.0
BEST-266-3X-W 3 6.0 30.0 37.6 46.0 71.0 85.0
BEST-266-5X-W 5 6.0 30.0 37.6 46.0 71.0 85.0
BEST-266-10X-W 10 3.0 30.0 37.6 46.0 74.0 88.0
BEST-266-20X-W 20 1.5 30.0 37.6 46.0 75.0 89.5

多种波长扩束镜 (405~1980nm)

405nm扩束镜

STS系列405nm扩束镜

型号 WL(nm) MAG CA1(mm) CA2(mm) D2(mm) L1(mm) 连接 是否电动
STS-EXM0015/173 405 1.5 8 31 65 85.1 M30x1 电动调发散角
STS-EXM0020/173 405 2 8 31 65 85.1 M30x1 电动调发散角
STS-EXM0030/173 405 3 8 31 65 85.1 M30x1 电动调发散角
STS-EXM0050/173 405 5 8 31 65 85.1 M30x1 电动调发散角
STS-EXM0070/173 405 7 8 31 65 85.1 M30x1 电动调发散角
STS-EXM0100/173 405 10 6 31 65 85.1 M30x1 电动调发散角
STS-EXM0200/173 405 20 5 31 65 85.1 M30x1 电动调发散角
STS-EXP0015/173 405 1.5 8 31 46 85 M30x1 非电动
STS-EXP0020/173 405 2 8 31 46 85 M30x1 非电动
STS-EXP0030/173 405 3 8 31 46 85 M30x1 非电动
STS-EXP0050/173 405 5 8 31 46 85 M30x1 非电动
STS-EXP0070/173 405 7 8 31 46 85 M30x1 非电动
STS-EXP0100/173 405 10 6 31 46 85 M30x1 非电动
STS-EXP0200/173 405 20 5 31 46 85 M30x1 非电动

BEST-W系列405nm可调扩束镜

产品型号 MAG CA1(mm) CA2(mm) D2 (mm) L1 (mm)
BEST-405-1.5-TW 1.5 6.0 30.0 46 85
BEST-405-2-TW 2 6.0 30.0 46 85
BEST-405-3-TW 3 6.0 30.0 46 85
BEST-405-5-TW 5 6.0 30.0 46 85
BEST-405-7-TW 7 4.2 30.0 46 85
BEST-405-10-TW 10 3.0 30.0 46 89
BEST-405-20-TW 20 1.5 30.0 46 95

633nm HeNe激光扩束镜

产品型号 MAG EP,mm CA2,mm L1,mm L2,mm OD,mm MT输入 MT输出
BEG-633-2 2 8 18 59.65 11.72 30 M22X0.75 M30X1
BEG-633-3 3 8 18 60.42 12.48 30 M22X0.75 M30X1
BEG-633-4 4 8 18 60.06 12.12 30 M22X0.75 M30X1
BEG-633-5 5 8 18 59.57 11.63 30 M22X0.75 M30X1
BEG-633-6 6 8 18 59.92 11.99 30 M22X0.75 M30X1
BEG-633-8 8 6 18 60.43 12.50 30 M22X0.75 M30X1
BEG-633-10 10 6 18 60.65 12.71 30 M22X0.75 M30X1
BEG-633-15 15 8 18 99.10 -- 30 M22X0.75 --
BEG-633-20 20 8 30 102.19 -- 45 M30X1 M43X0.75
BEG-633-30 30 8 32 149.81 -- 45 M22X0.75 M43X0.75
BEG-633-40 40 8 100 232.6 -- 112 M22X0.75 --

808-980nm扩束镜

STS系列808-980nm扩束镜(熔融石英)

型号 WL(nm) MAG CA1(mm) CA2(mm) D2(mm) L1(mm) 连接 是否电动
STS-EXM0020/094 808 - 980 2 8 31 65 85.1 M30x1 电动调发散角
STS-EXM0030/094 808 - 980 3 8 31 65 85.1 M30x1 电动调发散角
STS-EXM0050/094 808 - 980 5 8 31 65 85.1 M30x1 电动调发散角
STS-EXM0100/094 808 - 980 10 6 31 65 85.1 M30x1 电动调发散角
STS-EXP0020/094 808 - 980 2 8 31 46 85 M30x1 非电动
STS-EXP0030/094 808 - 980 3 8 31 46 85 M30x1 非电动
STS-EXP0050/094 808 - 980 5 8 31 46 85 M30x1 非电动
STS-EXP0100/094 808 - 980 10 6 31 46 85 M30x1 非电动

1550nm 扩束镜

STS系列1550nm扩束镱(熔融石英)

型号 WL(nm) MAG CA1(mm) CA2(mm) D2(mm) L1(mm) 连接 是否电动
STS-EXM0015/008 1550 1.5 8 31 65 85.1 M30x1 电动调发散角
STS-EXM0020/008 1550 2 8 31 65 85.1 M30x1 电动调发散角
STS-EXM0025/008 1550 2.5 8 31 65 85.1 M30x1 电动调发散角
STS-EXM0030/008 1550 3 8 31 65 85.1 M30x1 电动调发散角
STS-EXM0040/008 1550 4 8 31 65 85.1 M30x1 电动调发散角
STS-EXM0050/008 1550 5 8 31 65 85.1 M30x1 电动调发散角
STS-EXM0060/008 1550 6 8 31 65 85.1 M30x1 电动调发散角
STS-EXM0070/008 1550 7 8 31 65 85.1 M30x1 电动调发散角
STS-EXM0080/008 1550 8 8 31 65 85.1 M30x1 电动调发散角
STS-EXM0090/008 1550 9 8 31 65 85.1 M30x1 电动调发散角
STS-EXM0100/008 1550 10 6 31 65 85.1 M30x1 电动调发散角
STS-EXM0120/008 1550 12 8 31 65 85.1 M30x1 电动调发散角
STS-EXP0015/008 1550 1.5 8 31 46 85 M30x1 非电动
STS-EXP0020/008 1550 2 8 31 46 85 M30x1 非电动
STS-EXP0025/008 1550 2.5 8 31 46 85 M30x1 非电动
STS-EXP0030/008 1550 3 8 31 46 85 M30x1 非电动
STS-EXP0040/008 1550 4 8 31 46 85 M30x1 非电动
STS-EXP0050/008 1550 5 8 31 46 85 M30x1 非电动
STS-EXP0060/008 1550 6 8 31 46 85 M30x1 非电动
STS-EXP0070/008 1550 7 8 31 46 85 M30x1 非电动
STS-EXP0080/008 1550 8 8 31 46 85 M30x1 非电动
STS-EXP0090/008 1550 9 8 31 46 85 M30x1 非电动
STS-EXP0100/008 1550 10 6 31 46 85 M30x1 非电动
STS-EXP0120/008 1550 12 8 31 46 85 M30x1 非电动

1850-1980nm 扩束镜

STS系列1850-1980nm扩束镜

型号 MAG CA1(mm) CA2(mm) D2(mm) L1(mm) 连接 是否电动
STS-EXM0015/159 1.5 8 31 65 85.1 M30x1 电动调发散角
STS-EXM0020/159 2 8 31 65 85.1 M30x1 电动调发散角
STS-EXM0025/159 2.5 8 31 65 85.1 M30x1 电动调发散角
STS-EXM0030/159 3 8 31 65 85.1 M30x1 电动调发散角
STS-EXM0040/159 4 8 31 65 85.1 M30x1 电动调发散角
STS-EXM0050/159 5 8 31 65 85.1 M30x1 电动调发散角
STS-EXM0060/159 6 8 31 65 85.1 M30x1 电动调发散角
STS-EXM0070/159 7 8 31 65 85.1 M30x1 电动调发散角
STS-EXM0080/159 8 8 31 65 85.1 M30x1 电动调发散角
STS-EXM0090/159 9 8 31 65 85.1 M30x1 电动调发散角
STS-EXM0100/159 10 6 31 65 85.1 M30x1 电动调发散角
STS-EXM0120/159 12 8 31 65 85.1 M30x1 电动调发散角
STS-EXP0015/159 1.5 8 31 46 85 M30x1 非电动
STS-EXP0020/159 2 8 31 46 85 M30x1 非电动
STS-EXP0025/159 2.5 8 31 46 85 M30x1 非电动
STS-EXP0030/159 3 8 31 46 85 M30x1 非电动
STS-EXP0040/159 4 8 31 46 85 M30x1 非电动
STS-EXP0050/159 5 8 31 46 85 M30x1 非电动
STS-EXP0060/159 6 8 31 46 85 M30x1 非电动
STS-EXP0070/159 7 8 31 46 85 M30x1 非电动
STS-EXP0080/159 8 8 31 46 85 M30x1 非电动
STS-EXP0090/159 9 8 31 46 85 M30x1 非电动
STS-EXP0100/159 10 6 31 46 85 M30x1 非电动
STS-EXP0120/159 12 8 31 46 85 M30x1 非电动

变倍扩束镜,可调扩束镜

266nm变倍扩束镜

型号 WL(nm) MAG CA1(mm) CA2(mm) DA2(mm) L1(mm) 连接
STS-EXZ3976/199 266 1.0 - 8.0 9 30 160x70.5 200.4 --- 电动
STS-EXZ5075/199 266 1.0 - 8.0 10.3 31 58 162 C型连接 非电动
STS-EZM5075/199 266 1.0 - 8.0 10 30 58 162 C型连接 电动
BEST-266-1-8X-W 266 1x-8x 10 30
162-200
非电动

343-355nm变倍扩束镜

型号 WL(nm) MAG CA1(mm) CA2(mm) D2(mm) L1(mm) 连接
STS-EXZ3976/075 355 1.0 - 8.0 9 30 160x70.5 200.4 --- 电动
STS-EXZ3976/574 343 - 355 1.0 - 8.0 9 30 160x70.5 200.4 --- 电动
STS-EXZ5075/075 355 1.0 - 8.0 10.3 31 58 162 C型连接 非电动
STS-EXZ5075/574 343 - 355 1.0 - 8.0 10.3 31 58 162 C型连接 非电动
STS-EXZ5310/075 355 1.0 - 3.0 10.5 20 47 85.2 C型连接 非电动
STS-EXZ5310/574 343 - 355 1.0 - 3.0 10.5 20 47 85.2 C型连接 非电动
STS-EXZ5311/075 355 1.0 - 3.0 10.5 20 47 85.2 M30x1 非电动
STS-EXZ5311/574 343 - 355 1.0 - 3.0 10.5 20 47 85.2 M30x1 非电动
STS-EZM5075/075 355 1.0 - 8.0 10 30 58 162 C型连接 电动
STS-EZM5075/574 343 - 355 1.0 - 8.0 10 30 58 162 C型连接 电动
STS-EZM5310/075 355 1.0 - 3.0 10.5 20 47 105.8 C型连接 电动
STS-EZM5310/574 343 - 355 1.0 - 3.0 10.5 20 47 105.8 C型连接 电动
STS-EZM5311/075 355 1.0 - 3.0 10.5 20 47 85.2 M30x1 电动
STS-EZM5311/574 343 - 355 1.0 - 3.0 10.5 20 47 85.2 M30x1 电动
BEST-355-1-8X-W 355 1x-8x 10 30
85-200

BEST-355-1-8X-MOT-W 355 1x-8x 12 32
188
电动
BEST-355-2-8X-W 355 2x-8x 10 30
142-149

BEST-355-2-8X-A-W 355 2x-8x 11 60
183-192

532nm变倍扩束镜

型号 WL(nm) MAG CA1(mm) CA2(mm) D2 (mm) L1(mm) 连接 是否电动
STS-EXZ3976/292 515-545 1.0 - 8.0 9 30 160x70.5 200.4 --- 电动
STS-EXZ5076/292 515-545 1.0 - 8.0 10.3 31 58 162 C型连接 非电动
STS-EXZ5310/292 515-545 1.0 - 3.0 10.5 20 47 85.2 C型连接 非电动
STS-EXZ5311/292 515-545 1.0 - 3.0 10.5 20 47 85.2 M30x1 非电动
STS-EXZ5312/292 515-545 1.2 - 3.0 18.5 43 80 230.2 M30x1 非电动
STS-EZM5076/292 515-545 1.0 - 8.0 10 30 58 162 C型连接 电动
STS-EZM5310/292 515-545 1.0 - 3.0 10.5 20 47 105.8 C型连接 电动
STS-EZM5311/292 515-545 1.0 - 3.0 10.5 20 47 85.2 M30x1 电动
BEST-532-1-3X-W 532 1x-3x 10 20
85.0

BEST-532-2-8X-W 532 2x-8x 10 30
131.1

BEST-532-2-8X-A-W 532 2x-8x 11 60
190

800nm Zoom变倍扩束镜

产品型号 WL(nm) MAG CA1(mm) CA2(mm) 长度(mm)
BEST-800-2-8X-W 800 2x-8x 10 30 142-149

1064nm Zoom变倍扩束镜

型号 WL(nm) MAG CA1(mm) CA2(mm) D2 (mm) L1(mm) 连接
STS-EXZ3976/328 1030-1090 1.0 - 8.0 9 30 160x70.5 200.4 --- 电动
STS-EXZ5076/328 1030-1090 1.0 - 8.0 10.3 31 58 162.6 C型连接 非电动
STS-EXZ5310/328 1030-1090 1.0 - 3.0 10.5 20 47 85.2 C型连接 非电动
STS-EXZ5311/328 1030-1090 1.0 - 3.0 10.5 20 47 85.2 M30x1 非电动
STS-EXZ5312/328 1030-1090 1.2 - 3.0 18.5 43 80 230.2 M30x1 非电动
STS-EZM5076/328 1030-1090 1.0 - 8.0 10 30 58 162 C型连接 电动
STS-EZM5310/328 1030-1090 1.0 - 3.0 10.5 20 47 105.8 C型连接 电动
STS-EZM5311/328 1030-1090 1.0 - 3.0 10.5 20 47 85.2 M30x1 电动
BEST-1064-1-3X-W 1064 1x-3x 10 20
85.0

BEST-1064-1-3X-AW 1064 1x-3x 20 38
118.0

BEST-1064-2-8X-W 1064 2x-8x 10 30
142-149

BEST-1064-2-8X-QW 1064 2x-8x 12 32
195

BEST-1064-2-8X-AW 1064 2x-8x 13 60.67
162-169

1550nm变倍扩束镜

型号 MAG CA1(mm) CA2(mm) D2(mm) L1(mm) 连接
STS-EXZ5310/008 1.0 - 3.0 10.5 20 47 85.2 C型连接 非电动
STS-EXZ5311/008 1.0 - 3.0 10.5 20 47 85.2 M30x1 非电动

1850-1980nm变倍扩束镜

型号 WL(nm) MAG CA1(mm) CA2(mm) D2(mm) L1(mm) 连接
STS-EXZ5310/159 1850-1980 1.0 - 3.0 10.5 20 47 85.2 C型连接 非电动
STS-EXZ5311/159 1850-1980 1.0 - 3.0 10.5 20 47 82.5 M30x1 非电动

9.4um & 10.6um CO2变倍扩束镜

主要参数

  • 用于功率小于1.5KW/cm~2的Co2激光的准直

  • 2-8X的可变放大倍数

  • 伽利略设计

  • 可调发散角

产品型号 MAG CA1(mm) CA2(mm) 长度(mm)
BEST-10.6-1-4X-W 1X-4X 18 48 135
BEST-10.6-2-6X-W 2X-6X 16 96 205.78-212.37
BEST-9.4-2-8X-W 2X-8X 10 36 168-172
BEST-10.6-2-8X-W 2X-8X 10 36 168-172

BEST系列1064/532/355 变倍扩束镜

产品型号 WL,nm MAG CA1,mm CA2,mm OD(D2),mm L1,mm 连接mm
BEST-1064-1-2E 1064 1-2 20 20 42 114 M30x1+M43x0.5_Φ46
BEST-1064-2-4E 1064 2-4 15 33 48 97.5 Φ42
BEST-1064-2-8F 1064 2-8 12 32 42 153 Φ37.6
BEST-532-2-4E 532 2-4 15 33 46 97.5 M30x1+M43x0.5_Φ46
BEST-532-2-8F 532 2-8 12 32 42 169 Φ37.6
BEST-355-2-4E 532 2-4 15 33 46 97.5 M30x1+M43x0.5_Φ46
BEST-355-2-8F 355 2-8 12 32 42 164 Φ37.6

BEJ系列变倍扩束镜,激光扩束器

BEJ系列变倍扩束镜

扩束镜增加或减小激光光束的直径,可让光学系统的各类元件彼此校准。在激光输出处的激光光束的直径可根据物镜输入端所需的直径进行调整。扩束镜主要用于激光材料加工。所有扩束镜可与STJ物镜集成至各种波束制导系统中。

1x-4x和2x-10x扩束镜适用的激光波长为355、532和1030-1080nm。扩展的缩放范围使得10倍扩束成为可能。所有型号均可从最小倍数无限扩展至最大倍数。扩束和发散角是分开调整的。这意味着扩束镜可对整个光学系统进行聚焦校正。

扩束镜结构非常坚实和紧凑。镜片元件在更改设置的过程中不会发生旋转。这将确保极高的光束稳定性。扩束镜采用衍射极限的设计:激光光束的直径仅受入射光的衍射限制。缩放和聚焦刻度雕刻在扩束镜的表面,因此可快速轻松地进行手动调节。

STJ系列扩束镜特点是新型的机械设计:线性制导移动光学元件。这减少了机械制造公差的影响,在改变放大倍率和/或发散角时增加了光束方向的稳定性。扩束镜实现小于1毫弧度的高辐射方向稳定性。

新设计的扩束镜亦可用于锁定设置。这最大限度地减少了系统上的振动或加速度等的影响。此外本系列扩束镜易于安全处理,可将安装时间降至最低。

可变倍数扩束镜的优势

  • 高精度:优化并满足激光材料加工中所需的高精度要求。

  • 坚固紧凑:镜片元件在更改设置的过程中不会发生旋转。

  • 优化:经改进的光束稳定性

  • 灵活:可以单独调整扩展和分散。

  • 无限可调:从1倍至10倍的扩展因子

  • 快速手动调整:附带雕刻的缩放和聚焦刻度

产品型号 波长nm 扩束倍数 最大入射光斑mm 连接mm 外形尺寸mm
BEJ-00126 1030-1080 2-10x 8-3 Φ30 Φ42X159
BEJ-606997 1030-1080 1-8x 9-4 M30x1 Φ55X210
BEJ-582823 1030-1080 1-4x 4 M30x1 Φ45X155
BEJ-01226 1030-1080 1-4x 4 M30x1 Φ36X127.8
BEJ-611842 1030-1080 1-8x 9-4
210x75x99 电动
BEJ-20126 515-540 2-10x 8-3 Φ30 Φ42X159
BEJ-627443 515-540 1-8x 9-4 M30x1 Φ55X210
BEJ-593355 515-540 1-4x 4 M30x1 Φ45X155
BEJ-20226 515-540 1-4x 4 M30x1 Φ36X127.8
BEJ-627445 515-540 1-8x 9-4
210x75x99 电动
BEJ-40126 355 2-10x 8-3 Φ30 Φ42X159
BEJ-586117 355 1-8x 9-4 M30x1 Φ55X210
BEJ-593354 355 1-4x 4 M30x1 Φ45X155
BEJ-40226 355 1-4x 4 M30x1 Φ36X127.8
BEJ-613266 355 1-8x 9-4
210x75x99 电动

BEJ系列高功率1-8X变倍扩束镜

  • 衍射限制能力

  • 元件无内部反射

  • 高光束指向稳定性(≤0.3 mrad)

主要参数

透镜材料 熔融石英
透过率 ≥97%
光束指向稳定性 < 0.3mrad
接口 55mm直径或安装螺纹M30x1mm
重量 0.54kg
放大倍数 扩大比例 对焦比例
1x 10.3mm 0.0mm
8x 0.0mm 19.9mm

1030-1080nm 515-540nm 355nm
群延迟色散1): 339fs?; 1580fs?; 2810fs?;
激光损伤阈值 CW 2): 5.0J/cm?;*(τ/[ns])^0.30;
5.0MW/cm?;
2.5 J/cm?; * (τ/[ns]) ^ 0.30;
2.5 MW/cm?;
1.0 J/cm?; * (τ/[ns]) ^ 0.40;
1.0 MW/cm?; 4)
脉冲激光损伤阈值; CW 2): 0.35 J/cm?; * (τ/[ns]) ^ 0.30;
0.35 MW/cm?;
0.20 J/cm?; * (τ/[ns]) ^ 0.30;
0.20 MW/cm?;
0.10 J/cm?; * (τ/[ns]) ^ 0.40;
0.10 MW/cm?; 4)
最大入射孔径 ?
产品型号 BEJ-606997 BEJ-627443 BEJ-586117
扩束倍数 1030-1080nm 515-540nm 355nm
1x 9.0mm 9.0mm 9.0mm
2x 9.0mm 9.0mm 9.0mm
3x 9.0mm 9.0mm 9.0mm
4x 7.5mm 7.5mm 7.5mm
5x 6.0mm 6.0mm 6.0mm
6x 5.0mm 5.0mm 5.0mm
7x 4.5mm 4.5mm 4.5mm
8x 4.0mm 4.0mm 4.0mm

注:采用毫米刻度和游标刻度相结合的方法,对缩放和聚焦刻度进行微调。

BEJ系列2x-10x变倍扩束镜

  • 衍射限制能力

  • 无内部焦点

  • 元件无内部反射

主要参数

入射透镜材料 熔融石英
透射镜材料 532nm和1030-1080nm)高抗激光材料;(355nm)熔融石英
透过率 ≥96%
接口 ?:37.6(0/-0.1)mm
重量 0.23kg
扩大倍数 扩大比例 对焦比例
2x 0.0mm 0.0mm
10x 9.7mm 7.1mm

1030-1080nm 515-540nm 355nm
群延迟色散1): 288 fs?; 1070 fs?; 1640 fs?;
激光损伤阈值 CW 2): 5.0 J/cm?; * (τ/[ns]) ^ 0.30;
5.0 MW/cm?;
2.5J/cm?; * (τ/[ns]) ^ 0.35;
2.5 MW/cm?;
1.0 J/cm?; * (τ/[ns]) ^ 0.40;
1.0 MW/cm?; 4)
脉冲激光损伤阈值; CW 2): 0.5 J/cm?; * (τ/[ns]) ^ 0.30;
0.5 MW/cm?;
0.25 J/cm?; * (τ/[ns]) ^ 0.35;
0.25 MW/cm?;
0.10 J/cm?; * (τ/[ns]) ^ 0.40;
0.10 MW/cm?; 4)
最大入射孔径  ?
产品型号 BEJ-00126 BEJ-20126 BEJ-40126
扩束倍数 1030-1080nm 515-540nm 355nm
2x 8.0mm 8.0mm 6.0mm
3x 8.0mm 7.0mm 6.0mm
4x 7.0mm 6.0mm 5.0mm
5x 6.0mm 5.0mm 4.5mm
6x 5.0mm 4.0mm 4.0mm
7x 4.0mm 4.0mm 3.5mm
8x 3.5mm 3.5mm 3.0mm
9x 3.2mm 3.2mm 2.7mm
10x 3.0mm 3.0mm 2.2mm

注:采用毫米刻度和游标刻度相结合的方法,对缩放和聚焦刻度进行微调。

BEJ系列1-4X 可调扩束镜(熔融石英)

  • 衍射限制能力

  • 无内部焦点

  • 元件无内部反射

主要参数

入射透镜材料 熔融石英
透射镜材料 熔融石英
透过率 ≥97%
接口 螺口直径37.6mm 或30x1mm连接螺纹
重量 0.19kg
放大倍数 扩束刻度 聚焦刻度
1x 0.0mm 0.0mm
4x 7.4mm 13.3mm

1030-1080nm 515-540nm 355nm
群延迟色散1): 134fs?; 547fs?; 972fs?;
激光损伤阈值 CW 2): 5.0 J/cm?; * (τ/[ns]) ^ 0.30;
5.0 MW/cm?;
2.5 J/cm?; * (τ/[ns]) ^ 0.35;
2.5 MW/cm?;
1.0 J/cm?; * (τ/[ns]) ^ 0.40;
1.0 MW/cm?; 4)
脉冲激光损伤阈值; CW 2): 1.00 J/cm?; * (τ/[ns]) ^ 0.30;
1.00 MW/cm?;
0.50 J/cm?; * (τ/[ns]) ^ 0.35;
0.50 MW/cm?;
0.20 J/cm?; * (τ/[ns]) ^ 0.40;
0.20 MW/cm?; 4)
最大入射孔径  ?
型号 BEJ-01226 BEJ-20226 BEJ-40226
缩放比例 1030-1080nm 515-540nm 355nm
1x 4.0mm 4.0mm 4.0mm
2x 4.0mm 4.0mm 4.0mm
3x 4.0mm 4.0mm 4.0mm
4x 4.0mm 4.0mm 4.0mm

注:采用毫米刻度和游标刻度相结合的方法,对缩放和聚焦刻度进行微调。

BEJ系列1x-4x变倍扩束镜(超强熔融石英)

  • 可锁定的光学元件

  • 远光指向稳定性(< 1 mrad)

  • 衍射限制能力

  • 新颖的机械设计

主要参数

透镜材料 熔融石英
透过率 ≥97%
接口 出入射都是螺口直径45mm 或30x1mm连接螺纹
重量 0.37kg
放大倍数 扩束刻度 聚焦刻度
1x 14.8mm 0.0mm
4x 0.0mm 26.5mm

1030-1080nm 515-540nm 355nm
群延迟色散1): 134fs?; 547fs?; 972fs?;
激光损伤阈值 CW 2): 5.0 J/cm?; * (τ/[ns]) ^ 0.30;
5.0 MW/cm?;
2.5 J/cm?; * (τ/[ns]) ^ 0.35;
2.5 MW/cm?;
1.0 J/cm?; * (τ/[ns]) ^ 0.40;
1.0 MW/cm?; 4)
脉冲激光损伤阈值; CW 2): 1.00 J/cm?; * (τ/[ns]) ^ 0.30;
1.00 MW/cm?;
0.50 J/cm?; * (τ/[ns]) ^ 0.35;
0.50 MW/cm?;
0.20 J/cm?; * (τ/[ns]) ^ 0.40;
0.20 MW/cm?; 4)
最大入射孔径  ?
产品型号 BEJ-582823 BEJ-593355 BEJ-593354
扩束倍数 1030-1080nm 515-540nm 355nm
1x 4.0mm 4.0mm 4.0mm
2x 4.0mm 4.0mm 4.0mm
3x 4.0mm 4.0mm 4.0mm
4x 4.0mm 4.0mm 4.0mm

注:采用毫米刻度和游标刻度相结合的方法,对缩放和聚焦刻度进行微调。

BEJ系列电动变倍扩束镜

带智能扩束镜自动设定配置

  • 电动扩束和焦点改变

  • 闭环模式下的焦点补偿

  • 温度测量

  • 使用通用数字接口易于集成

机械部分

  • 无级调节增量的扩束倍率:< 0.01

  • 配置更改时间:< 3s(从1x到8x)

  • 重量:< 1.2kg

  • 外部尺寸:210x74.8x98.2mm

光学部分

  • 透镜材料:熔融石英

  • 最大剩余发散角:在6mm光斑直径时< 1mrad (输入处)

  • GDD3): 339fs?;(1030-1080nm); 1580fs?;(515-540nm; 2810fs?;(355nm)

  • LIDT镀膜脉冲;连续4):(1) 5.0J/cm?; * (τ/[ns]) ^ 0.30; 5.0MW/cm?;(1030-1080nm); (2) 2.5J/cm?; * (τ/[ns]) ^ 0.30; 2.5 MW/cm?;(515-540 nm;; (3) 1.0J/cm?; * (τ/[ns]) ^ 0.40; 1.0 MW/cm?;(355nm) 8)

  • LIDT系统脉冲;连续 4) (1) 0.35 J/cm?; * (τ/[ns]) ^ 0.30; 0.35 MW/cm?; (1030-1080nm); (2) 0.20 J/cm?; * (τ/[ns]) ^ 0.30; 0.20 MW/cm?;(515-540nm); (3) 0.10 J/cm?; * (τ/[ns]) ^ 0.40; 0.10 MW/cm?;(355 nm) 8)

  • 透过率: ≥ 97%

  • 光束指向稳定性5):≤0.3mrad

电气部分

  • 供电电压 6): 24±3V | < 1.5A

  • 标准控制接口(可选):USB、数字接口(5V TTL 高电平3.7…7 V(可配置))、 以太网、 ProfiNet、 RS485、 RS232等

  • 软件界面:C、C++、C、LabVIEW、Excel

  • 软件协议:文本协议、二进制协议

  • 运行环境温度(在装置内部测量):5°C-40°C(非冷凝)

  • 储存温度:0℃-70℃(非冷凝)

备注

  • 可按要求定制其他红外波长(如:980nm)

  • 可补偿的剩余发散角(入射端)取决于光束直径

  • 群延迟色散

  • 详见技术参数

  • 最小调整误差

  • 包括单相0-264V和50/60Hz的供电电源

  • 实际放大倍数可与参数表上有±5%的误差

  • 激光损伤阈值对于脉宽> 10 ps的紫外激光器有效。对于较短的脉冲,请按建议测试。

可根据要求增加附加选项,如安装支架、可调范围、自适应光纤耦合附加组件、可调光纤耦合附加组件、可调光束偏转装置等。

BEAL系列变倍扩束镜,电动扩束准直镜

BEAL系列电动变倍扩束镜

BEAL系列是专为自动化应用而设计的变倍扩束镜。它结合多个透镜可提供从1到6倍的变倍放大和自动调节发散角。驱动器和所有电机都集成到扩束镜里,其结构紧凑使用方便。其高指向稳定性(< 0.1mrad)和快速放大速度(1秒从1x到6x)提高了精密加工和工业应的效率。

主要特点

  • 最小像差设计

  • 即插即用解决方案(包括控制器)

  • 适用于超快皮秒和飞秒激光

  • 微控制器和嵌入式系统直接控制

  • 1064nm、10ps、400kHz时,激光损伤阈值高达100mJ/cm~2

  • 波长范围250-3000nm内可定制

标准参数

波长 343-355nm, 515-532nm, 1020-1070nm
放大倍数 1 - 6 倍连续可调
指向稳定性 < 0.1mrad
变倍速度(1x to 6x) < 1 sec
衍射极限最大输入光束直径 6mm
透过率 > 98%
镜片材质 UVFS
激光损伤阈值(镀膜) > 10J/cm2 @ 1064nm, 10ns, 10Hz
尺寸 (高 x宽 x长L) 62 x 62 x 161 mm
控制接口 RS232
外壳材料 黑色阳极氧化铝
准直器孔

BEAL系列手动变倍扩束镜

可变光束扩束镜适用于需要不同放大倍数和精确控制激光发散角的系统。扩束镜为伽利略型其高激光损伤阈值镀膜可以尽量减少内反射。我们的可变扩展束镜可以分别调节放大倍数和发散角。两种标准产品分别是在1x-4x和2x-8x范围内改变放大倍数。

主要特点

  • 高指向稳定性(< 1 mrad)

  • 提供光斑椭圆度、M2和指向稳定性参数的单独测试报告

  • 安装接口可按客户要求在入射,中间和出射的位置

  • 适用于UV波长,长寿命,高损伤阈值

波长nm MAG

最大入射光斑*, mm

外形尺寸mm 产品型号
343-355 1x-4x 1X
2X
3X
4X
4.0
5.5
3.0
3.0
?41x120 BEAL-1X-4X-0343-0355-B
2x-8x 2X
3X
4X
5X
6X
7X
8X
5.0
5.0
4.0
3.0
2.5
2.25
2.0
?41x145 BEAL-2X-8X-0343-0355-B
515-532 1x-4x 1X
2X
3X
4X
4.5
6.5
4.0
3.5
?41x120 BEAL-1X-4X-0515-0532-B
2x-8x 2X
3X
4X
5X
6X
7X
8X
5.0
5.0
4.0
3.0
2.5
2.25
2.0
?41x147.5 BEAL-2X-8X-0515-0532-B
1030-1064 1x-4x 1X
2X
3X
4X
4.5
7.0
5.0
4.0
?41x120 BEAL-1X-4X-1030-1064-B
2x-8x 2X
3X
4X
5X
6X
7X
8X
5.0
5.0
5.0
4.0
3.0
2.5
2.5
?41x147.5 BEAL-2X-8X-1030-1064-B

* 最大输入光斑直径确保衍射限制性能

分享: